missing translation for 'onlineSavingsMsg'
Learn More
Learn More
Invitrogen™ RSK1 Polyclonal Antibody

Description
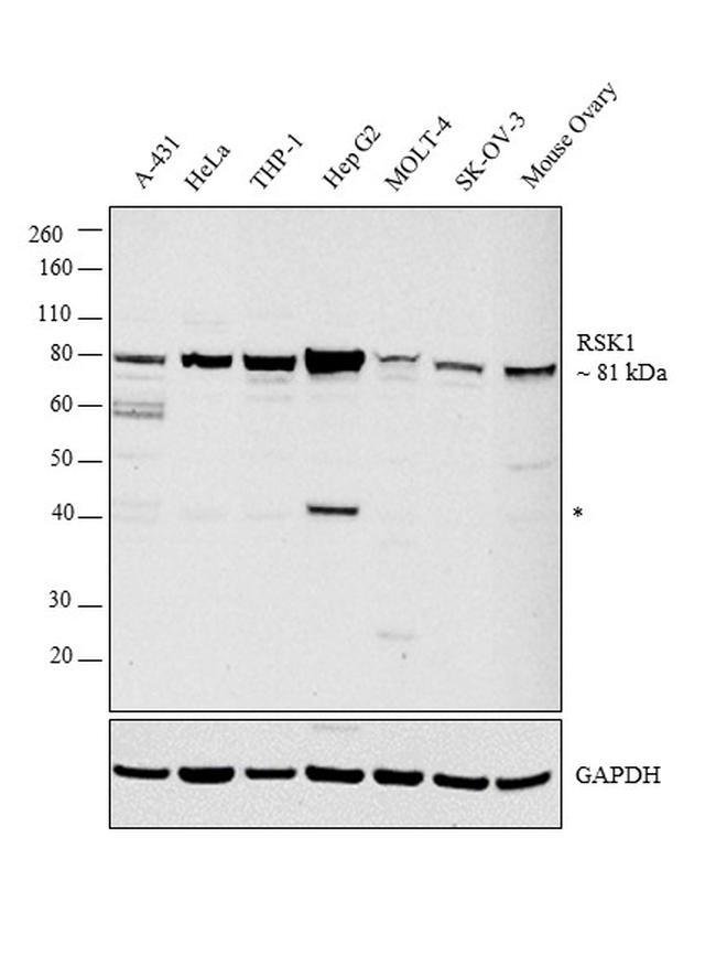
Recommended positive controls: A431, HeLa, HepG2, Raji. Predicted reactivity: Mouse (99%), Rat (99%), Xenopus laevis (97%), Pig (99%), Chicken (98%), Bovine (99%). Store product as a concentrated solution. Centrifuge briefly prior to opening the vial.
RPS6KA1 (RSK1) is a growth-factor regulated serine/threonine kinase that is involved in the MAPK cascade. It is thought to control cellular proliferation and differentiation through the phosphorylation of transcription factors. RPS6KA1 contains 2 nonidentical kinase catalytic domains and phosphorylates various substrates, including members of the mitogen-activated kinase (MAPK) signalling pathway. The activity of this protein has been implicated in controlling cell growth and differentiation. Alternate transcriptional splice variants, encoding different isoforms, have been characterized.
Spécification
Spécification
| Antigène | RSK1 |
| Applications | Immunohistochemistry (Paraffin), Western Blot, Immunocytochemistry |
| Classification | Polyclonal |
| Concentration | 1 mg/mL |
| Conjugué | Unconjugated |
| Formule | 0.1M tris glycine with 10% glycerol and 0.01% thimerosal; pH 7 |
| Expression | RPS6KA1 |
| Numéro d’ordre du gène | P18653, Q15418 |
| Alias de gène | 90 kDa ribosomal protein S6 kinase 1; dJ590P13.1 (ribosomal protein S6 kinase, 90kD, polypeptide 1); hu-1; MAP kinase-activated protein kinase 1; MAP kinase-activated protein kinase 1a; MAPK-activated protein kinase 1; MAPK-activated protein kinase 1a; MAPKAP kinase 1; MAPKAP kinase 1a; MAPKAPK-1; mapkapk1a; MAPKAPK-1a; p90Rsk; P90-RSK; p90-RSK 1; p90Rsk1; p90-Rsk1; p90S6K; pp90RSK1; ribosomal protein S6 kinase 2 alpha; ribosomal protein S6 kinase 2 beta; ribosomal protein S6 kinase a, polypeptide 1; ribosomal protein S6 kinase A1; ribosomal protein S6 kinase A1 L homeolog; ribosomal protein S6 kinase alpha 1; Ribosomal protein S6 kinase alpha-1; Ribosomal protein S6 kinase II alpha; ribosomal protein S6 kinase II beta; ribosomal protein S6 kinase polypeptide 1; ribosomal protein S6 kinase, 90kD, polypeptide 1; Ribosomal protein S6 kinase, 90kD, 1; ribosomal protein S6 kinase, 90kDa, polypeptide 1; ribosomal protein S6 kinase, 90kDa, polypeptide 1 L homeolog; ribosomal protein S6 kinase, polypeptide A1; ribosomal S6 kinase 1; RPS6KA; Rps6ka1; rps6ka1.L; RPS6KA1L; rsk; RSK1; Rsk-1; S6 kinase II beta; S6 protein kinase (Rsk-1); S6K-alpha 1; S6K-alpha-1; S6KII-alpha; S6KII-beta; wu:fc56h07; XELAEV_18012109mg; zgc:152654 |
| Symboles de gène(s) | RPS6KA1 |
| Afficher plus |
Nom du produit
En cliquant sur Soumettre, vous reconnaissez que vous pouvez être contacté par Fisher Scientific au sujet des informations que vous avez fournies dans ce formulaire. Nous ne partagerons pas vos informations à d'autres fins. Toutes les informations de contact fournies seront également conservées conformément à notre politique de confidentialité. Politique de confidentialité.
Vous avez repéré une opportunité d'amélioration ?